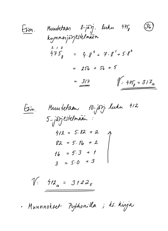
36_maa11.jpeg Jaa Sulje Tämän kuvan tekstivastine: (tyhjä tekstivastine) 557F48EB-9E7E-41B0-99F8-FF2BC0739C6E.jpeg 69 kt