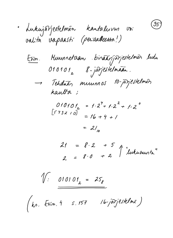
35_maa11.jpeg Jaa Sulje Tämän kuvan tekstivastine: (tyhjä tekstivastine) B2E9492C-4619-4719-93AC-BF8BE435FD60.jpeg 79.2 kt