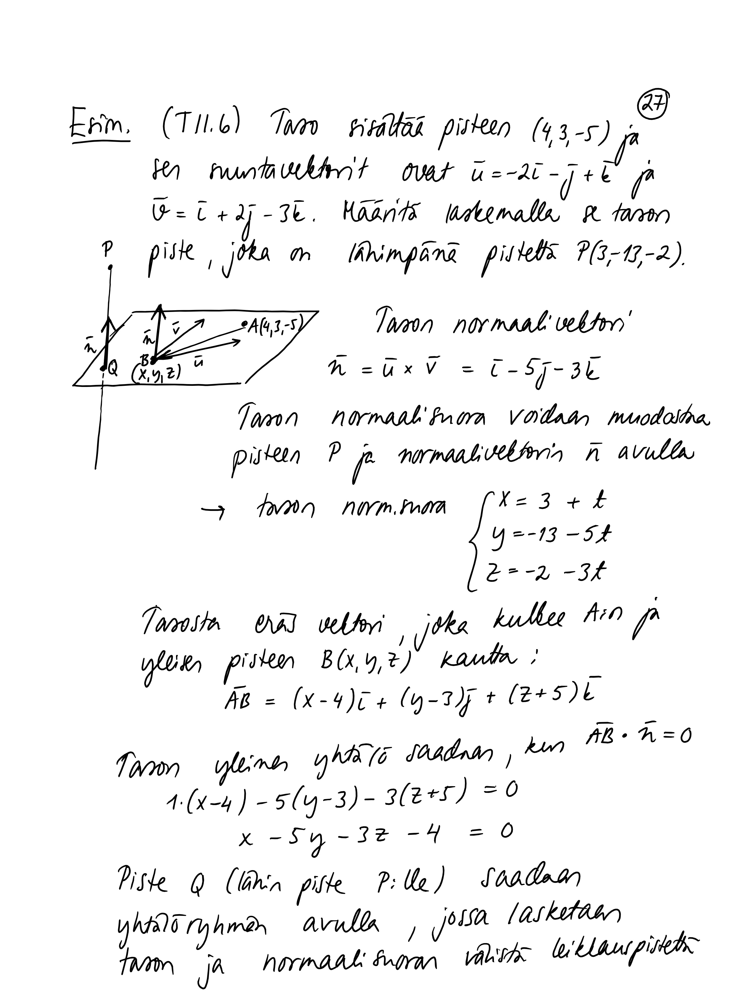
Jakaminen Sulje 27_maa10.jpeg Pysyvä osoite https://peda.net/id/e9dd0d48ec4 Pysyvä tiedoston latausosoite https://peda.net/id/e9dd0d48ec4:file/download/9e56ccdf258f5f393306f466f2be88207484e975/7A02A2E6-2E13-4F10-A867-15DEA1309076.jpeg Jakaminen muihin palveluihin Share this page to Facebook QR-koodi