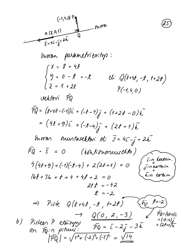
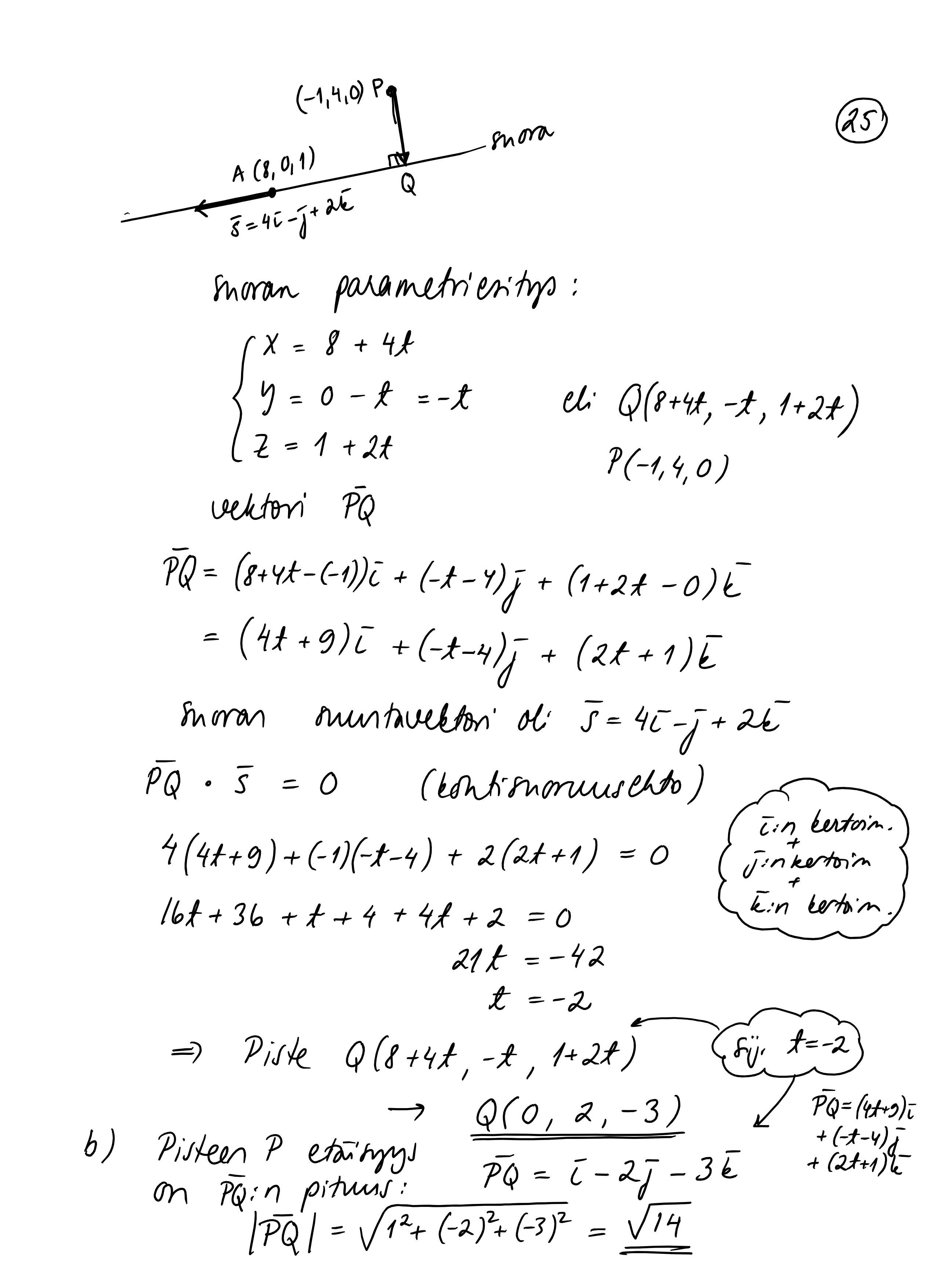
25_maa10.jpeg Jaa Sulje Tämän kuvan tekstivastine: (tyhjä tekstivastine) 7EF550FC-4CD4-4175-AC53-2154BF143AAB.jpeg 774.8 kt