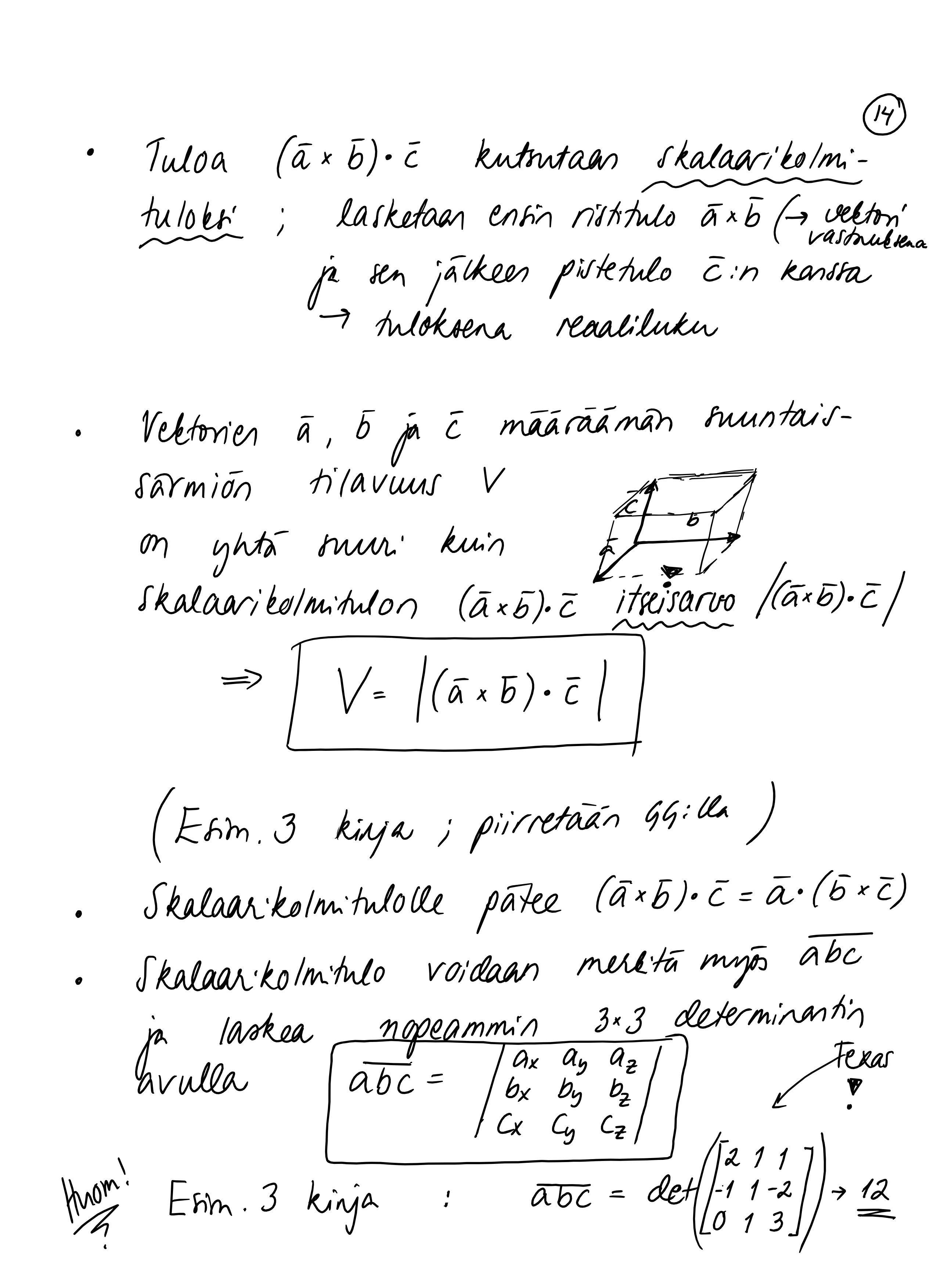
Jakaminen Sulje 14_maa10.jpeg Pysyvä osoite https://peda.net/id/d0c4c86ae2b Pysyvä tiedoston latausosoite https://peda.net/id/d0c4c86ae2b:file/download/c48cf14396067bbbb7ff95807bc15f0c8010c0c6/09BB241C-D537-4B16-9B26-20E57519414F.jpeg Jakaminen muihin palveluihin Share this page to Facebook QR-koodi