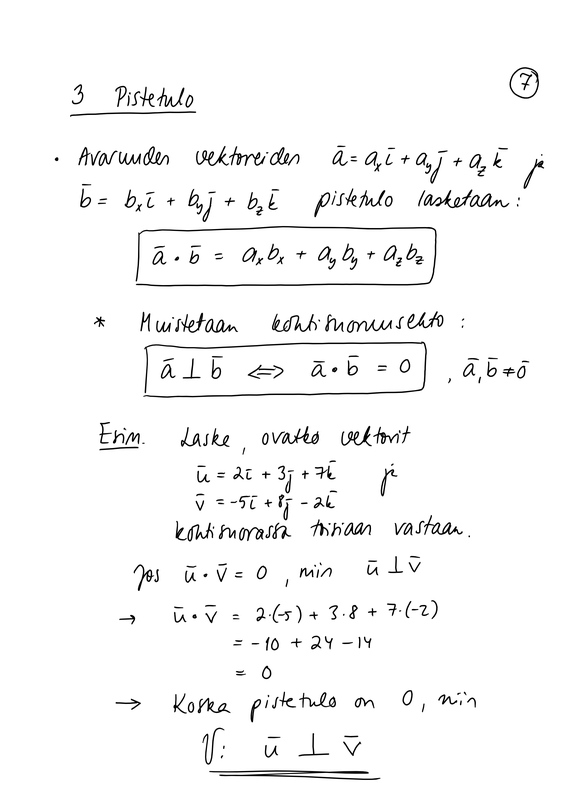
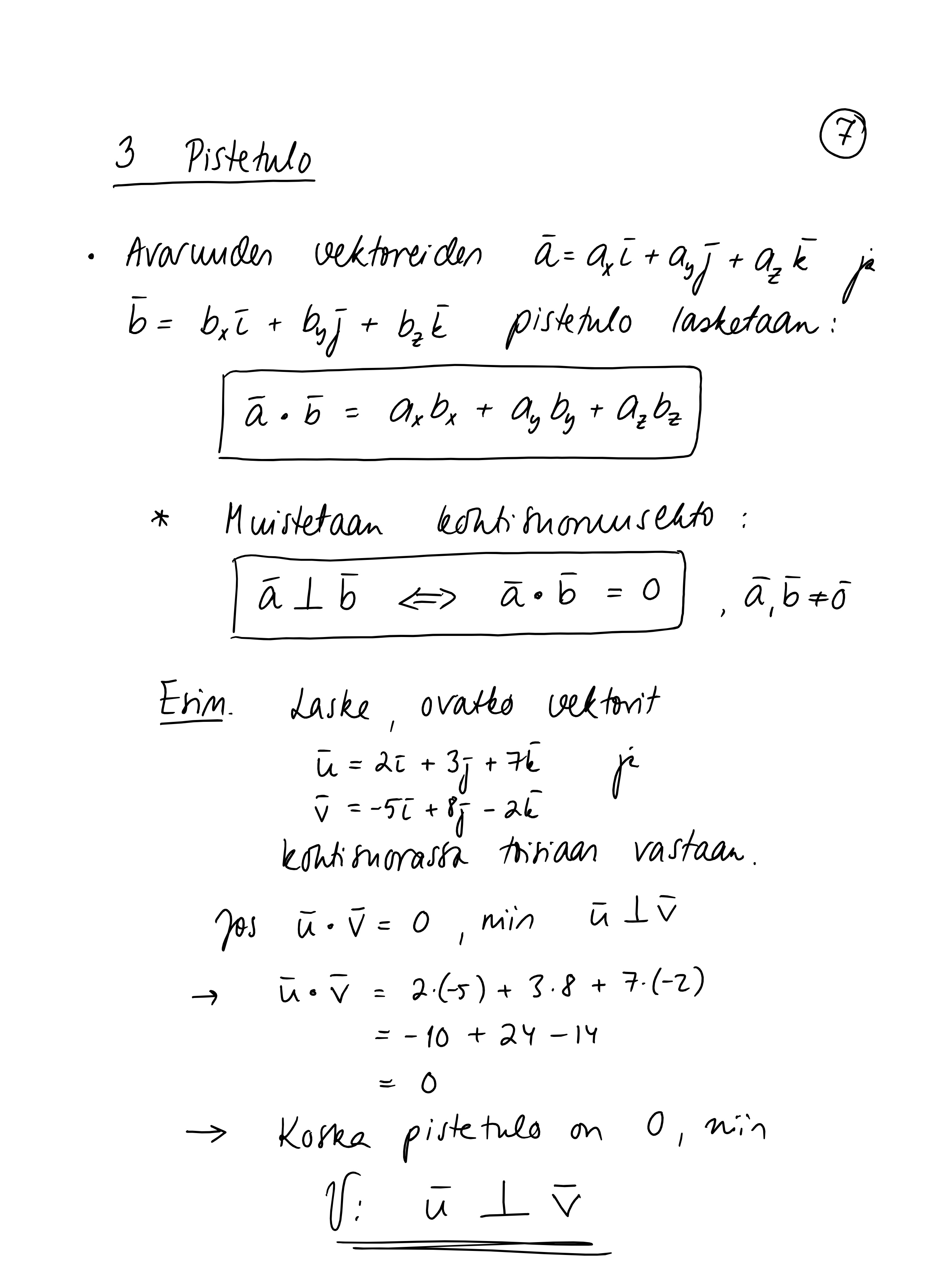
7_maa10.jpeg Jaa Sulje Tämän kuvan tekstivastine: (tyhjä tekstivastine) 6CF378D2-BB0C-423C-848B-0C19AC7739E3.jpeg 629.5 kt