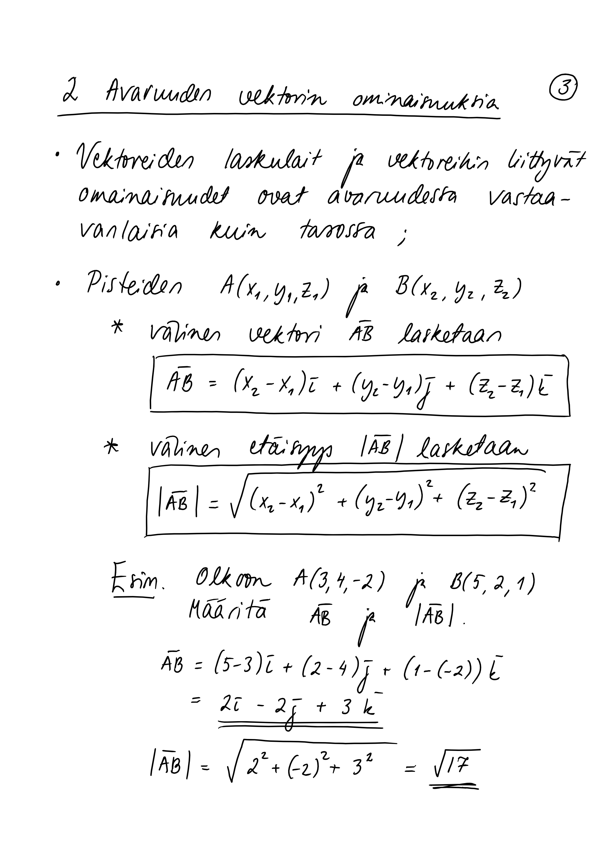
3_maa10.jpeg Jaa Sulje Tämän kuvan tekstivastine: (tyhjä tekstivastine) 3B438E6B-76FC-432E-896A-1274A35562BC.jpeg 828 kt