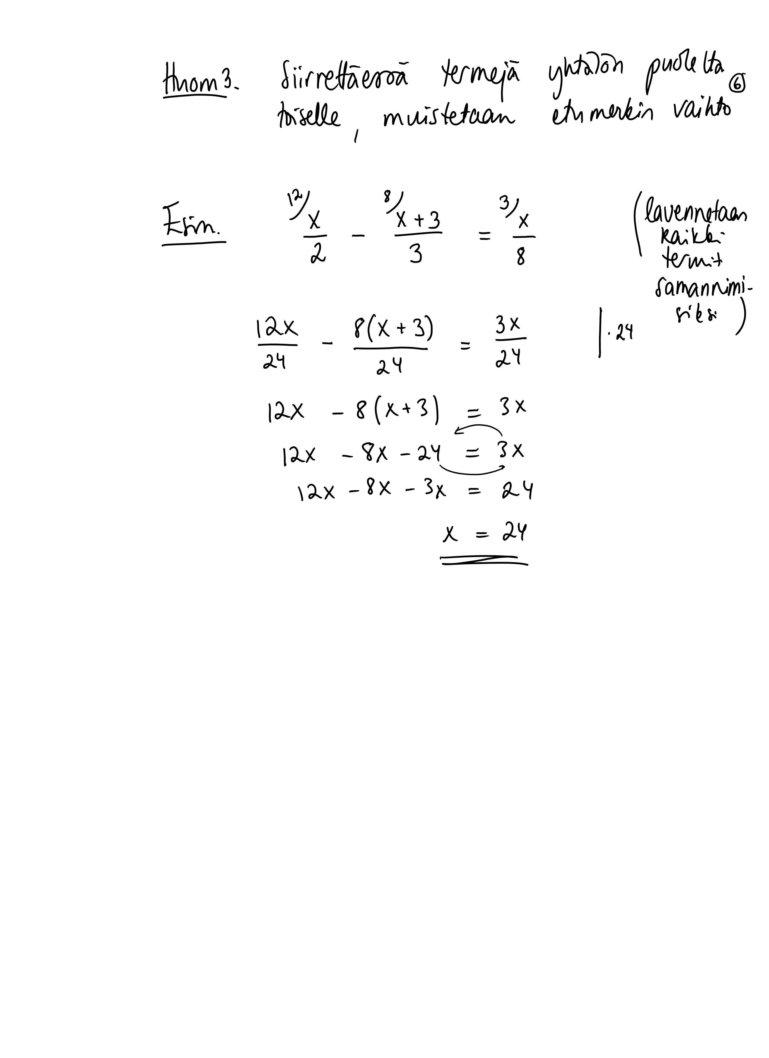
6_may1.jpeg Jaa Sulje Tämän kuvan tekstivastine: (tyhjä tekstivastine) D2ACECCE-1371-49C8-90A3-F690427E6E92.jpeg 417.2 kt