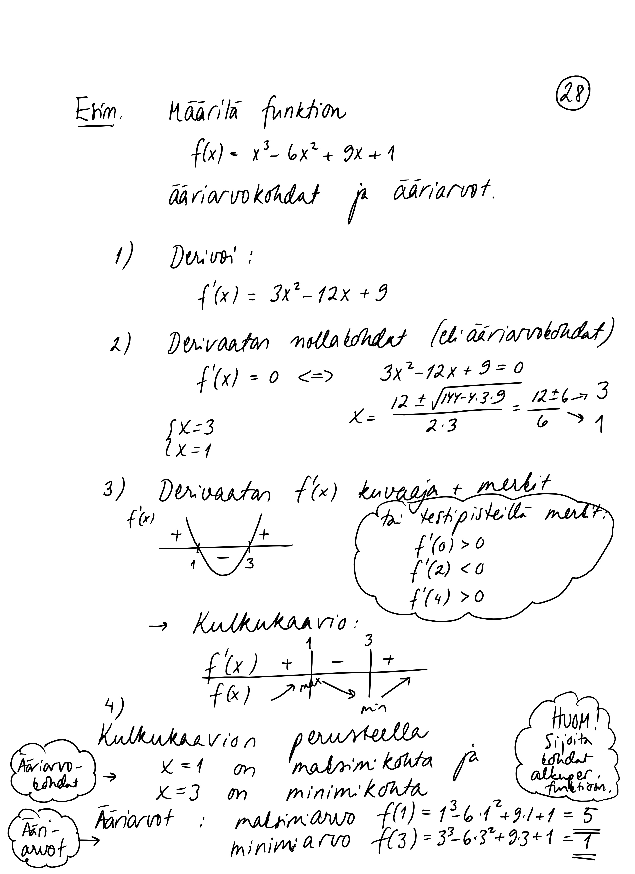
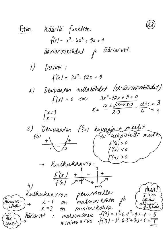
28_mab8.jpeg Jaa Sulje Tämän kuvan tekstivastine: (tyhjä tekstivastine) B76F95CD-FB11-47DB-A5D1-551F86FD9715.jpeg 903.6 kt