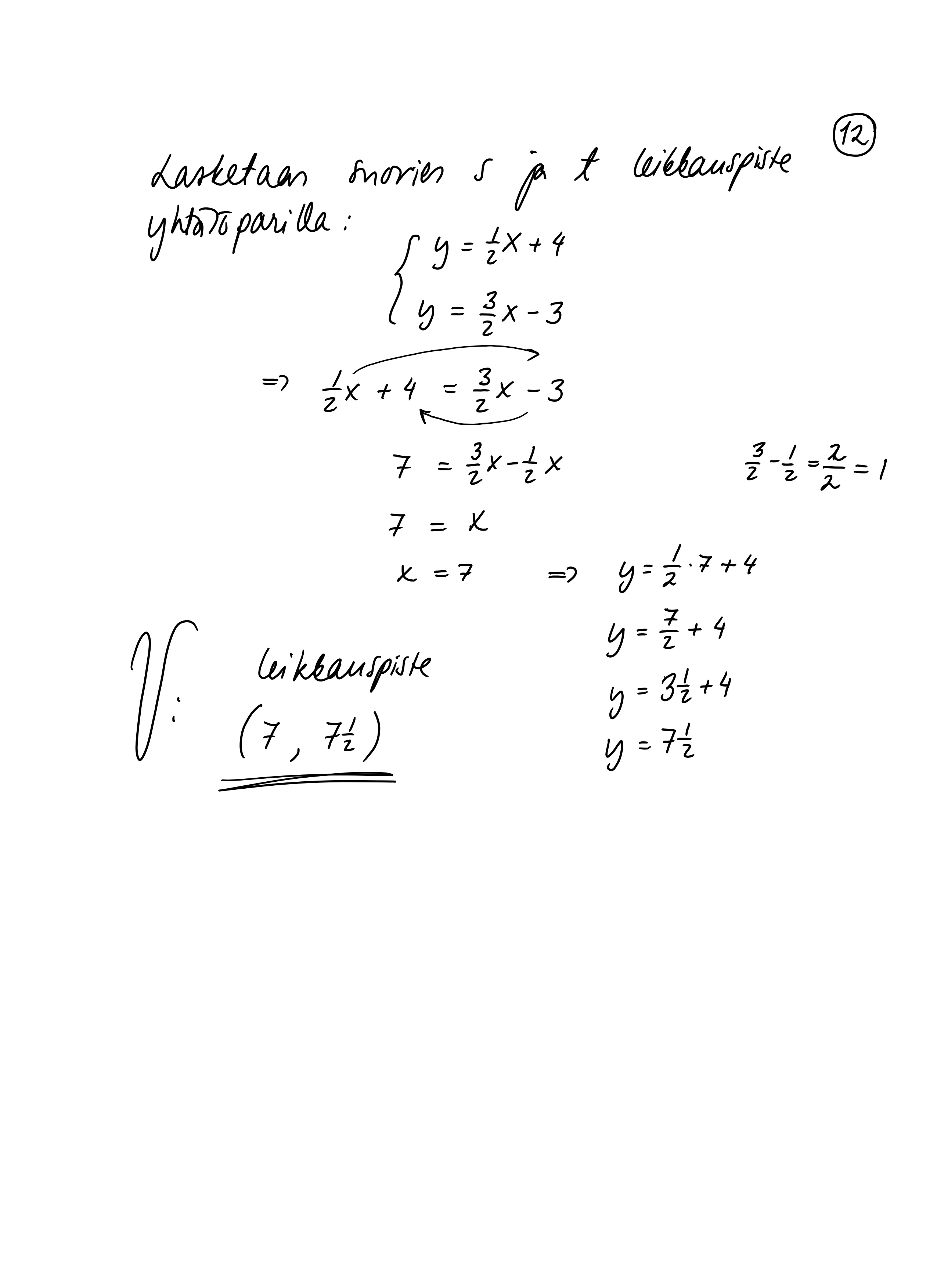
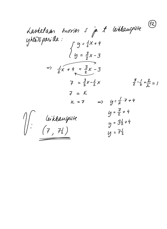
12_mab4.jpeg Jaa Sulje Tämän kuvan tekstivastine: (tyhjä tekstivastine) A8C5A310-ED5E-4F22-9F5A-A3FAC646D7A8.jpeg 385 kt