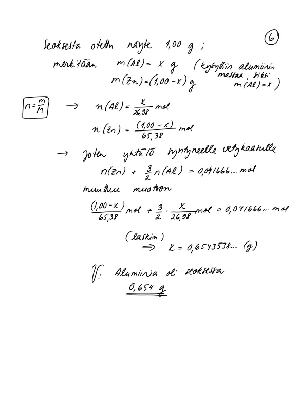
6_ke5.jpeg Jaa Sulje Tämän kuvan tekstivastine: (tyhjä tekstivastine) 99BE5D5C-1785-4796-9168-15B0FD17B705.jpeg 573.2 kt