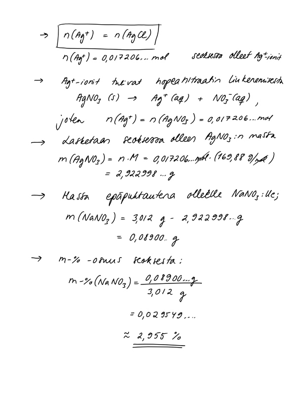
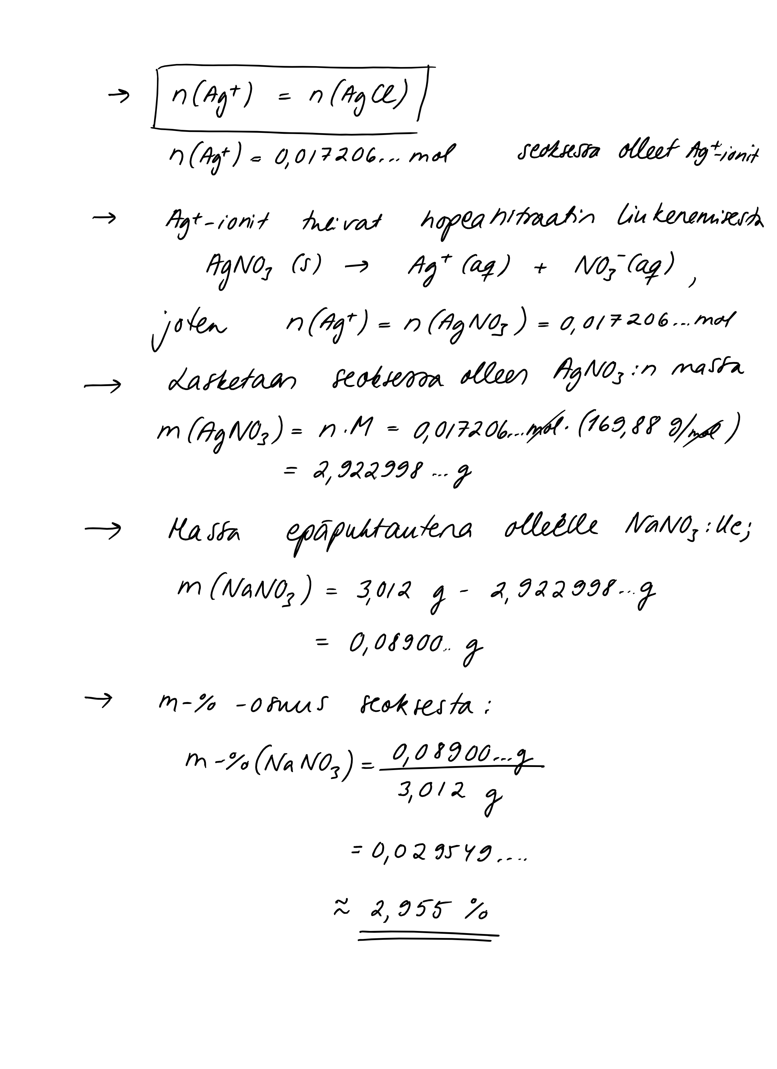
4_ke5.jpeg Jaa Sulje Tämän kuvan tekstivastine: (tyhjä tekstivastine) 3D6D1C1A-0326-4FC2-9AED-9F83B5C7204D.jpeg 728.8 kt