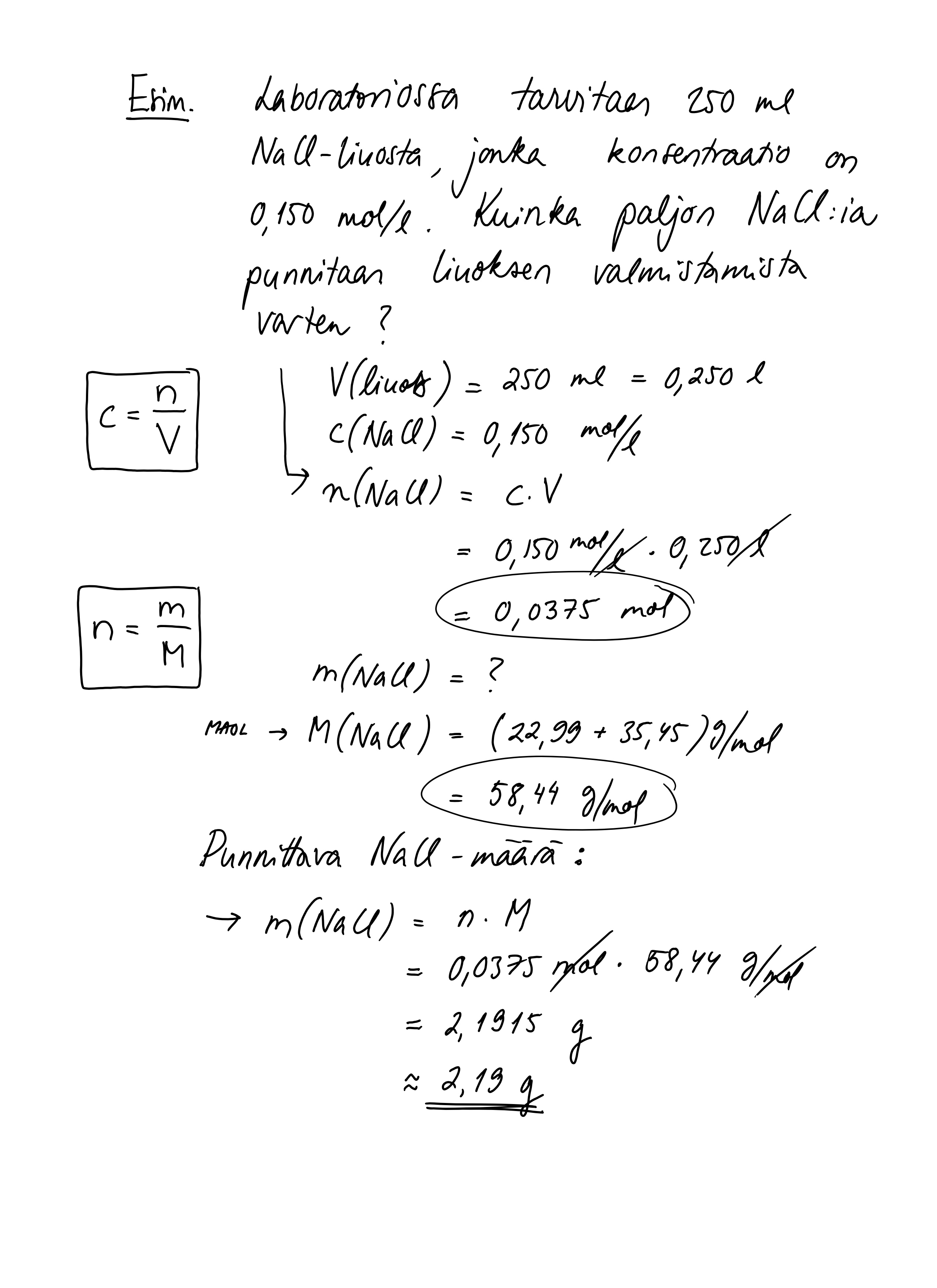
Jakaminen Sulje Konsentraatio2.jpeg Pysyvä osoite https://peda.net/id/7985bfecb9a Pysyvä tiedoston latausosoite https://peda.net/id/7985bfecb9a:file/download/43d633ca57a9c7d5258cc50e2639cf09e54f4c9c/6C0D0F53-F763-49D2-A298-3DE3A8C2087C.jpeg Jakaminen muihin palveluihin Share this page to Facebook QR-koodi