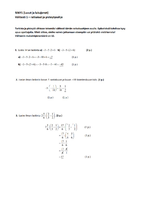
Välitesti 1
Välitesti 1 tehtävät
Laske tehtävät vihkosi loppuun. Älä käytä kirjaa apuna. Kun olet valmis, pisteytä tehtäväsi erillisen ohjeen avulla. Jos sait 8 pistettä tai yli, voit jatkaa seuraavaan kokonaisuuteen, jos sait alle 8, kertaa vielä näitä ennen siirtymistä. Etenkin yhtälöt ovat erityisen tärkeitä työvälineitä myöhemmissä kursseissa kummassakin oppimäärässä.
0 kommenttia