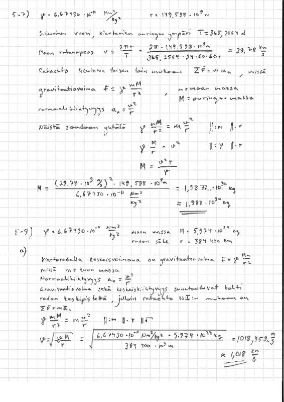
Kpl 5 ratkaisuja.pdf Jaa Sulje Tämän tiedoston tekstivastine: (tyhjä tekstivastine) Kpl 5 ratkaisuja.pdf 286 kt