vMAA9

Torstain 7.9. ohjeet

Aluksi: Opiskeltavaa ja tekemistä on tälle päivälle melko paljon. Tähän voit kuitenkin budjetoida käyttäväsi aikaa saman verran kuin tavallisena torstaina: 90 min oppitunti + kotitehtävät. Eli kaksi tuntia ei ole ollenkaan liikaa. Matematiikan itse- tai pienryhmäopiskelussa (ilman opettajaa) kannattaa kiinnittää erityistä huomiota määritelmiin ja esimerkkeihin.

7.3 Lukujonojen ominaisuuksia (s. 104-)

Päättyvä lukujono:

  • rajoitettu, sisältää suurimman ja pienimmän arvon
  • huomaa summan merkintätapa (sigma)

Päättymätön lukujono:

  • ei välttämättä suurinta tai pienintä arvoa
  • summaa ei voida laskea tarkasti (summan raja-arvo joissain tapauksissa kylläkin, tähän palataan kurssissa 13)

Lukujonon an voi ymmärtää funktioksi f(n), jolloin

  • se voi olla kasvava, aidosti kasvava, vähenevä tai aidosti vähenevä
  • kulkua voi tutkia esim. derivaatan avulla (mikäli lauseke on derivoituva, kuten usein on)

Käy läpi (ainakin) kirjan esimerkit 1, 4 ja 7. Kiinnitä esimerkkejä tutkiessasi erityisesti huomiota ratkaisun ideaan, ei niinkään esim. derivoinnin yksityiskohtiin. Huomaa, että lukujonon kasvamista tai vähenemistä voi tutkia derivaatan lisäksi myös toisella tavalla (esim. 4). Tee tehtävät 710, 711, 715 ja 717.

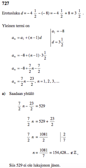
7.4 Aritmeettinen lukujono (s. 113-)

Kun perusasiat lukujonoista ovat hallussa, aritmeettisen lukujonon tutkiminen on suhteellisen helppoa. Aritmeettisen lukujonon seuraava termi saadaan lisäämällä edelliseen aina sama luku. Tämä luku on erotusluku d.

Aritmeettisen lukujonon yleinen termi lasketaan sivun 115 kaavalla

an = a1 + (n - 1)d.

Kaavaa voi käyttää myös muuhun, kuten esimerkit osoittavat. Käy läpi huolellisesti ainakin esimerkit 3-6. Tämän jälkeen tee tehtävät 723-727.